通过之前小编分享的html5canvas这方面的相关内容之后大家就让小编整理有关于:“在html5中怎么使用canvas对基础图像进行处理?”这个问题的解决方法!
基础 API
canvas 的图像处理能力通过 ImageData 对象来处理像素数据。主要的 API 如下:
- createImageData():创建一个空白的 ImageData 对象
- getImageData():获取画布像素数据,每一个像素点有 4 个值 —— rgba
- putImageData():将像素数据写入画布
imageData = {
width: Number,
height: Number,
data: Uint8ClampedArray
}width 是 canvas 画布的宽或者说 x 轴的像素数量;height 是画布的高或者说 y 轴的像素数量;data 是画布的像素数据数组,总长度 w * h * 4,每 4 个值(rgba)代表一个像素。
对图片的处理
下面,我们通过几个例子来看下 canvas 基础的图片处理能力。
原图效果:

const cvs = document.getElementById("canvas");
const ctx = cvs.getContext("2d");
const img = new Image();
img.src="图片 URL";
img.onload = function () {
ctx.drawImage(img, 0, 0, w, h);
}底片/负片效果
算法:将 255 与像素点的 rgb 的差,作为当前值。
function negative(x) {
let y = 255 - x;
return y;
}
效果图:

const imageData = ctx.getImageData(0, 0, w, h);
const { data } = imageData;
let l = data.length;
for(let i = 0; i < l; i+=4) {
const r = data[i];
const g = data[i + 1];
const b = data[i + 2];
data[i] = negative(r);
data[i + 1] = negative(g);
data[i + 2] = negative(b);
}
ctx.putImageData(imageData, 0, 0);单色效果
单色效果就是保留当前像素的 rgb 3个值中的一个,去除其他色值。
for(let i = 0; i < l; i+=4) { // 去除了 r 、g 的值
data[i] = 0;
data[i + 1] = 0;
}
效果图:
灰度图
灰度图:每个像素只有一个色值的图像。0 到 255 的色值,颜色由黑变白。
for(let i = 0; i < l; i+=4) {
const r = data[i];
const g = data[i + 1];
const b = data[i + 2];
const gray = grayFn(r, g, b);
data[i] = gray;
data[i + 1] = gray;
data[i + 2] = gray;
}
算法1——平均法:
const gray = (r + g + b) / 3;
效果图:
算法2——人眼感知:根据人眼对红绿蓝三色的感知程度:绿 > 红 > 蓝,给定权重划分
const gray = r * 0.3 + g * 0.59 + b * 0.11
效果图:

除此以外,还有:
取最大值或最小值。
const grayMax = Math.max(r, g, b); // 值偏大,较亮
const grayMin = Math.min(r, g, b); // 值偏小,较暗
const grayMax = Math.max(r, g, b); // 值偏大,较亮 const grayMin = Math.min(r, g, b); // 值偏小,较暗
取单一通道,即 rgb 3个值中的一个。
二值图
算法:确定一个色值,比较当前的 rgb 值,大于这个值显示黑色,否则显示白色。
for(let i = 0; i < l; i+=4) {
const r = data[i];
const g = data[i + 1];
const b = data[i + 2];
const gray = gray1(r, g, b);
const binary = gray > 126 ? 255 : 0;
data[i] = binary;
data[i + 1] = binary;
data[i + 2] = binary;
}
效果图:
高斯模糊
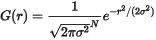
高斯模糊是“模糊”算法中的一种,每个像素的值都是周围相邻像素值的加权平均。原始像素的值有最大的高斯分布值(有最大的权重),相邻像素随着距离原始像素越来越远,权重也越来越小。
一阶公式:

(使用一阶公式是因为一阶公式的算法比较简单)
const radius = 5; // 模糊半径
const weightMatrix = generateWeightMatrix(radius); // 权重矩阵
for(let y = 0; y < h; y++) {
for(let x = 0; x < w; x++) {
let [r, g, b] = [0, 0, 0];
let sum = 0;
let k = (y * w + x) * 4;
for(let i = -radius; i <= radius; i++) {
let x1 = x + i;
if(x1 >= 0 && x1 < w) {
let j = (y * w + x1) * 4;
r += data[j] * weightMatrix[i + radius];
g += data[j + 1] * weightMatrix[i + radius];
b += data[j + 2] * weightMatrix[i + radius];
sum += weightMatrix[i + radius];
}
}
data[k] = r / sum;
data[k + 1] = g / sum;
data[k + 2] = b / sum;
}
}
for(let x = 0; x < w; x++) {
for(let y = 0; y < h; y++) {
let [r, g, b] = [0, 0, 0];
let sum = 0;
let k = (y * w + x) * 4;
for(let i = -radius; i <= radius; i++) {
let y1 = y + i;
if(y1 >= 0 && y1 < h) {
let j = (y1 * w + x) * 4;
r += data[j] * weightMatrix[i + radius];
g += data[j + 1] * weightMatrix[i + radius];
b += data[j + 2] * weightMatrix[i + radius];
sum += weightMatrix[i + radius];
}
}
data[k] = r / sum;
data[k + 1] = g / sum;
data[k + 2] = b / sum;
}
}
function generateWeightMatrix(radius = 1, sigma) { // sigma 正态分布的标准偏差
const a = 1 / (Math.sqrt(2 * Math.PI) * sigma);
const b = - 1 / (2 * Math.pow(sigma, 2));
let weight, weightSum = 0, weightMatrix = [];
for (let i = -radius; i <= radius; i++){
weight = a * Math.exp(b * Math.pow(i, 2));
weightMatrix.push(weight);
weightSum += weight;
}
return weightMatrix.map(item => item / weightSum); // 归一处理
}
效果图:
其他效果
这里再简单介绍下其他的图像效果处理,因为例子简单重复,所以不再给出代码和效果图。
- 亮度调整:将 rgb 值,分别加上一个给定值。
- 透明化处理:改变 rgba 值中的 a 值。
- 对比度增强:将 rgb 值分别乘以 2,然后再减去一个给定值。
总结
好了,上面就是一些基础的图像处理算法。
参考资料
那么到此这篇关于“在html5中怎么使用canvas对基础图像进行处理?”这个问题的内容我们就分享到这里了,更多的内容都可以在W3Cschool中进行学习!


