本篇文章为大家带来了一篇关于C语言数据结构的文章,如何使用C语言实现单链表结构的反转。下面是详情内容,详细解析了C语言中关于实现单链表反转的细节,以及具体实例代码,供大家学习参考。
一、理解指针
看懂链表的结构并不是很难,但是一旦把它和指针混在一起,就很容易让人摸不着头脑。所以,要想写对链表代码,首先就要理解好指针。
有些语言有“指针”的概念,比如 C 语言;有些语言没有指针,取而代之的是“引用”,比如 Java、Python。不管是“指针”还是“引用”,实际上,它们的意思都是一样的,都是存储所指对象的内存地址。
将某个变量赋值给指针,实际上就是将这个变量的地址赋值给指针,或者反过来说,指针中存储了这个变量的内存地址,指向了这个变量,通过指针就能找到这个变量。
p->next=q。这行代码是说,p 结点中的 next 指针存储了 q 结点的内存地址。p->next=p->next->next。这行代码表示,p 结点的 next 指针存储了 p 结点的下下一个结点的内存地址。
C语言标准规定,对于一个符号的定义,编译器总是从它的名字开始读取,然后按照优先级顺序依次解析。对,从名字开始,不是从开头也不是从末尾,这是理解复杂指针的关键!
对于初学者,有几种运算符的优先级非常容易混淆,它们的优先级从高到低依次是:
定义中被括号( )括起来的那部分。后缀操作符:括号( )表示这是一个函数,方括号[ ]表示这是一个数组。前缀操作符:星号*表示“指向xxx的指针”。
在本章中我们最多只用到二级指针因此将对二级指针做下说明。比如int **p,是什么意思?
首先看 *p 。 “*”表示P是一个指针。但是是指向什么的指针呢?
在看前面的int* ,int是一个整型类型后面加一个“*”表示整型类型的指针。
*p就是指向整型类型指针的指针。p保存的是整型类型指针的地址。
二、警惕指针丢失和内存泄漏
不知道你有没有这样的感觉,写链表代码的时候,指针指来指去,一会儿就不知道指到哪里了。所以,我们在写的时候,一定注意不要弄丢了指针。指针往往都是怎么弄丢的呢?我拿单链表的插入操作为例来给你分析一下。
指针往往都是怎么弄丢的呢?我拿单链表的插入操作为例来给你分析一下。
如图所示,我们希望在结点 a 和相邻的结点 b 之间插入结点 x,假设当前指针 p 指向结点 a。如果我们将代码实现变成下面这个样子,就会发生指针丢失和内存泄露。
p->next = x; // 将p的next指针指向x结点;
x->next = p->next; // 将x的结点的next指针指向b结点;
初学者经常会在这儿犯错。p->next 指针在完成第一步操作之后,已经不再指向结点 b 了,而是指向结点 x。第 2 行代码相当于将 x 赋值给 x->next,自己指向自己。因此,整个链表也就断成了两半,从结点 b 往后的所有结点都无法访问到了。
对于有些语言来说,比如 C 语言,内存管理是由程序员负责的,如果没有手动释放结点对应的内存空间,就会产生内存泄露。所以,我们插入结点时,一定要注意操作的顺序,要先将结点 x 的 next 指针指向结点 b,再把结点 a 的 next 指针指向结点 x,这样才不会丢失指针,导致内存泄漏。所以,对于刚刚的插入代码,我们只需要把第 1 行和第 2 行代码的顺序颠倒一下就可以了。同理,删除链表结点时,也一定要记得手动释放内存空间,否则,也会出现内存泄漏的问题。当然,对于像 Java 这种虚拟机自动管理内存的编程语言来说,就不需要考虑这么多了。
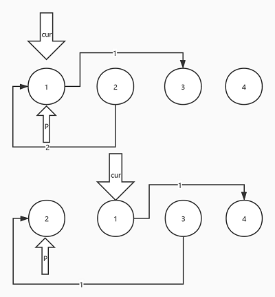
三、单链表反转的C语言实现
使用p指向第一个结点,cur指向当前结点,每次把cur->next结点摘掉放在p节点前面。然后更新p结点指向头结点。具体实现代码如下所示
void revers_list(list1 **l)
{
if(!(*l)||!l)
{
exit(-1);
}
list1 *start=*l;
list1 *start_next=NULL;
while (start->next)
{
// 获取当前节点的后继节点
start_next = start->next;
// 将后继节点摘链 72
start->next = start_next->next;
// 将后继节点提到最前面
start_next->next = *l;
// 更新头节点
*l = start_next;
}
}
到此这篇关于C语言实现单链表反转的文章就介绍到这了,更多相关C语言数据结构的其他内容,请搜索W3Cschool以前的文章或继续浏览下面的相关文章!


