程序员熬到40岁,比较成功的转成管理岗位,另外一部分程序员一旦失业就不好找工作了。

针对这个问题,存在两种观点:一种观点认为,程序员就是青春饭,你见过几个中年以上的还在敲代码?过了三十左右,如果没有晋升到架构或管理的,基本可以说是loser!另一种观点认为,人家国外很多资深程序员不都是大叔甚至大爷级的嘛?
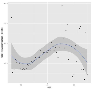
根据北卡罗莱纳州立大学计算机科学系的两个人统计出的一组数据,我们可以发现,程序员的编程能力在从25岁左右开始上升,一直到50岁后才会开始下降。

但是遗憾的是,我们国内最大的程序员有时候也不过是40 多岁,而且是极少一部分。在国内程序员招聘经常规定不超过30-35之间。
从能力的角度而言,我们不需要质疑老程序员有多吃香。不管有多少种理由会说雇佣老程序员有哪些不好的地方,但是你仍然需要一名。原因很简单:他们就像巴黎欧莱雅那样值得你拥有。

为什么一些公司需要招老程序员,在zijiebao看来,至少这5个理由可以说服你。
1、经验
老程序员不再年轻,他不会再像年轻时候那样脑袋里装着存储大量的代码。因为每一套系统的规模都在越来越大,脑容量简直是不够用了!但是,老程序员的经验可以发挥作用,毕竟这么多年的编程造就自己可以看穿开发语言的共同特征,相似之处,以及突出不同点。
2、专业知识
在80年代初期,只有COBOL、Basic 和汇编语言等商业语言。而如今现在语言和技术更加的繁杂、庞大,程序员需要掌握的更多,要懂得版本控制系统、构建系统、XML、JSON、数据库和 SQL,还有HTML、CSS、JavaScript 和服务器端语言等各种web技术。

掌握这些基础的技术才能进入到更高的境界,唯有老程序员拥有一种系统化的方法,可以更加高效地掌握和理解这些新语言、技术体系。
3、判断力
老程序员对于重点测试系统有着更好的把控和判断,他们清楚哪些地方是否需要重点测试系统。他们可以从架构图中看出可能出现的问题。他们可以告诉你针对特定项目可以运用哪些技术,以及如何优化可靠性、性能或开发速度(选择任意两种),如何做出好的权衡。
4、程序的基本结构烂熟于心
老程序员一般会精读一些有点规模的程序,并且对于程序的基本结构心中有数。精读是指每行都读懂,在白纸上能画出来这个程序的基本结构,这也是很多老程序员刻意练习的方法。如果谁用这方法搞定了WordPress,他的PHP水平一定会突飞猛进,就是这么神奇!
5、写了大量代码
老程序员通常经过大量代码的“洗礼”,这里不是指拷贝粘贴,而是自己琢磨着写并优化它。老程序员至少写过2~3万行。反之,如果没有做到这些,就是一个不合格的程序员,他的编程和设计能力一定是不及格的。

作为一名程序员的你,你选择编程生涯在什么年龄“退役”呢?


