在pytorch的交叉熵损失函数的学习中,weight惨啊作为交叉熵函数对应参数的输入值,它的使用并不是想象中的那么简单。接下来的这篇文章小编就来详细的介绍一下交叉熵损失函数的weight参数怎么使用吧。
首先
必须将权重也转为Tensor的cuda格式;
然后
将该class_weight作为交叉熵函数对应参数的输入值。
补充:关于pytorch的CrossEntropyLoss的weight参数
首先这个weight参数比想象中的要考虑的多
你可以试试下面代码
import torch
import torch.nn as nn
inputs = torch.FloatTensor([0,1,0,0,0,1])
outputs = torch.LongTensor([0,1])
inputs = inputs.view((1,3,2))
outputs = outputs.view((1,2))
weight_CE = torch.FloatTensor([1,1,1])
ce = nn.CrossEntropyLoss(ignore_index=255,weight=weight_CE)
loss = ce(inputs,outputs)
print(loss)
tensor(1.4803)
这里的手动计算是:
loss1 = 0 + ln(e0 + e0 + e0) = 1.098
loss2 = 0 + ln(e1 + e0 + e1) = 1.86
求平均 = (loss1 *1 + loss2 *1)/ 2 = 1.4803
加权呢?
import torch
import torch.nn as nn
inputs = torch.FloatTensor([0,1,0,0,0,1])
outputs = torch.LongTensor([0,1])
inputs = inputs.view((1,3,2))
outputs = outputs.view((1,2))
weight_CE = torch.FloatTensor([1,2,3])
ce = nn.CrossEntropyLoss(ignore_index=255,weight=weight_CE)
loss = ce(inputs,outputs)
print(loss)
tensor(1.6075)
手算发现,并不是单纯的那权重相乘:
loss1 = 0 + ln(e0 + e0 + e0) = 1.098
loss2 = 0 + ln(e1 + e0 + e1) = 1.86
求平均 = (loss1 * 1 + loss2 * 2)/ 2 = 2.4113
而是
loss1 = 0 + ln(e0 + e0 + e0) = 1.098
loss2 = 0 + ln(e1 + e0 + e1) = 1.86
求平均 = (loss1 *1 + loss2 *2) / 3 = 1.6075
发现了么,加权后,除以的是权重的和,不是数目的和。
我们再验证一遍:
import torch
import torch.nn as nn
inputs = torch.FloatTensor([0,1,2,0,0,0,0,0,0,1,0,0.5])
outputs = torch.LongTensor([0,1,2,2])
inputs = inputs.view((1,3,4))
outputs = outputs.view((1,4))
weight_CE = torch.FloatTensor([1,2,3])
ce = nn.CrossEntropyLoss(weight=weight_CE)
# ce = nn.CrossEntropyLoss(ignore_index=255)
loss = ce(inputs,outputs)
print(loss)
tensor(1.5472)
手算:
loss1 = 0 + ln(e0 + e0 + e0) = 1.098
loss2 = 0 + ln(e1 + e0 + e1) = 1.86
loss3 = 0 + ln(e2 + e0 + e0) = 2.2395
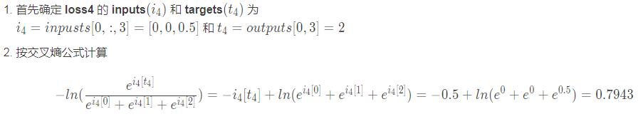
loss4 = -0.5 + ln(e0.5 + e0 + e0) = 0.7943
求平均 = (loss1 * 1 + loss2 * 2+loss3 * 3+loss4 * 3) / 9 = 1.5472
可能有人对loss的CE计算过程有疑问,我这里细致写写交叉熵的计算过程,就拿最后一个例子的loss4的计算说明

小结
以上就是pytorch怎么使用交叉熵损失函数的全部内容,希望能给大家一个参考,也希望大家多多支持W3Cschool。


