学习完python的语法基础,后面有高级的python语法,这部分是python独有(或者说,非基本功能)的。比如python的lanbda表达式和python的三大推导式,这些高级语法在生产中是经常遇到的。小编对这些高级用法进行了总结,小伙伴们直接拿走不谢。
一、Lambda表达式
Lambda表达式又被称之为匿名函数
格式
lambda 参数列表:函数体
def add(x,y):
return x+y
print(add(3,4))
#上面的函数可以写成Lambda函数
add_lambda=lambda x,y:x+y
add_lambda(3,4)
二、map函数
函数就是有输入和输出,map的输入和输出对应关系如下图所示:

就是要把一个可迭代的对象按某个规则映射到新的对象上。
因此map函数要有两个参数,一个是映射规则,一个是可迭代对象。
list1=[1,2,3,4,5]
r=map(lambda x:x+x,list)
print(list1(r))
结果:[2,4,6,8,10]
m1=map(lambda x,y:x*x+y,[1,2,3,4,5],[1,2,3,4,5])
print(list(ml))
结果:[2,6,12,20,30]
三、filter函数
filter的输入和输出对应关系如下图所示:

def is_not_none(s):
return s and len(s.strip())>0
list2=['','','hello','xxxx', None,'ai']
result=filter(is_not_none, list2)
print(list(result))
结果:[‘hello',‘xxxx',‘ai']
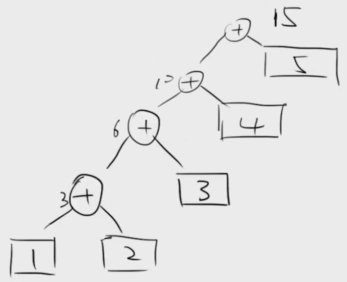
四、reduce函数

from functools import reduce
f=lambda x,y:x+y x=reduce(f,[1,2,3,4,5])
print(r)
结果:15=1+2+3+4+5
相当于每一次计算都是基于前一次计算的结果:

还可以为reduce计算添加初始值:
from functools import reduce
f=lambda x,y:x+y x=reduce(f,[1,2,3,4,5],10)
print(r)
结果:25=10+1+2+3+4+5
五、三大推导式
5.1 列表推导式
list1=[1,2,3,4,5,6]
f=map(lambda x:x+x,list1)
print(list(f))
list2=[i+i for i in list1]
print(list2)
list3=[i**3 for i in list1]
print(list3)
#筛选列表的例子
list4=[i*4 for i in list1 if i>3]
print(list4)
#结果
[2,4,6,8,10,12]
[2,4,6,8,10,12]
[1,8,27,64,125,216]
[16,25,36]
5.2 集合推导式
直接把上面代码copy下来,然后把列表改成集合
list1={1,2,3,4,5,6}
list2={i+i for i in list1}
print(list2)
list3={i**3 for i in list1}
print(list3)
#筛选列表的例子
list4={i*4 for i in list1 if i>3}
print(list4)
#结果
{2, 4, 6, 8, 10, 12}
{64, 1, 8, 216, 27, 125}#这里是乱序的
{16, 24, 20}
5.3 字典推导式
s={
"zhangsan":20,
"lisi":15,
"wangwu":31
}
#拿出所有的key,并变成列表
s_key=[ key for key, value in s.items()]
print(s_key)
#结果
['zhangsan','lisi','wangwu']
# 交换key和value位置,注意冒号的位置
s1={ value: key for key, value in s.items()}
print(s1)
#结果
{20:'zhangsan',15:'1isi',31:'wangwu'}
s2={ key: value for key, value in s.items() if key=="1isi"}
print(s2)
#结果
{"lisi":15}
六、闭包
闭包:一个返回值是函数的函数
import time
def runtime():
def now_time():
print(time.time())
return now_time #返回值是函数名字
f=runtime()#f就被赋值为一个函数now_time()了
f()#运行f相当于运行now_time()
再来看一个带参数的例子:
假设有一个csv文件,内容有三行,具体如下:
a,b,c,d,e
1,2,3,4,5
6,7,8,9,10
def make_filter(keep):# keep=8
def the_filter(file_name):
file=open(file name)#打开文件
lines=file.readlines()#按行读取文件
file.close()#关闭文件
filter_doc=[i for i in lines if keep in i]#过滤文件内容
return filter_doc
return the_filter
filter1=make_filter("8")#这一行调用了make_filter函数,且把8做为参数传给了keep,接受了the_filter函数作为返回值
#这里的filter1等于函数the_filter
filter_result=filter1("data.csv")#把文件名data.csv作为参数传给了函数the_filter
print(filter_result)
#结果
['6,7,8,9,10']
七、装饰器、语法糖、注解
# 这是获取函数开始运行时间的函数
import time
def runtime(func):
def get_time():
print(time.time())
func()# run被调用
return get_time
@runtime
def run()
print('student run')
#运行
run()
#结果
当前时间
student run
由于有装饰器@runtime的存在,会把run这个函数作为参数丢到runtime(func)里面去,如果调整打印时间代码的位置会有不同结果:
# 这是获取函数结束运行时间的函数
import time
def runtime(func):
def get_time():
func()# run被调用
print(time.time())
return get_time
@runtime
def run()
print('student run')
#运行
run()
#结果
student run
当前时间
这里还要注意,这里还用到了闭包的概念,在运行run函数的时候,调用的实际上是get_time函数。
对于多个参数的函数如何调用,看下面例子
#有一个参数
import time
def runtime(func):
def get_time(i):
func(i)# run被调用
print(time.time())
return get_time
@runtime
def run(i)
print('student run')
#运行
run(1)
#有两个参数
import time
def runtime(func):
def get_time(i,j):
func(i,j)# run被调用
print(time.time())
return get_time
@runtime
def run(i,j)
print('student run')
#运行
run(1,2)
可以发现,这样写对于函数的多态不是很好,因此可以写为:
#自动适配参数
import time
def runtime(func):
def get_time(*arg):
func(*arg)# run被调用
print(time.time())
return get_time
@runtime
def run(i)
print('student1 run')
@runtime
def run(i,j)
print('student2 run')
#运行
run(1)
run(1,2)
再次进行扩展,更为普适的写法,可以解决传入类似i=4的关键字参数写法:
#自动适配参数
import time
def runtime(func):
def get_time(*arg,**kwarg):
func(*arg,**kwarg)# run被调用
print(time.time())
return get_time
@runtime
def run(i)
print('student1 run')
@runtime
def run(*arg,**kwarg)
print('student2 run')
@runtime
def run()
print('no param run')
#运行
run(1)
run(1,2,j=4)
run()
到此这篇python lanbda表达式和三大推导式的用法详细总结就介绍到这了,更多高级Python语法学习内容请搜索W3Cschool以前的文章或继续浏览下面的相关文章。


